Displaying report 1-1 of 1.
Reports until 17:03, Thursday 09 October 2025
H1 IOO (ISC, PSL)
jennifer.wright@LIGO.ORG - posted 17:03, Thursday 09 October 2025 (87400)
Measurements from 8th October

Keita, Jennie W, Rahul

 

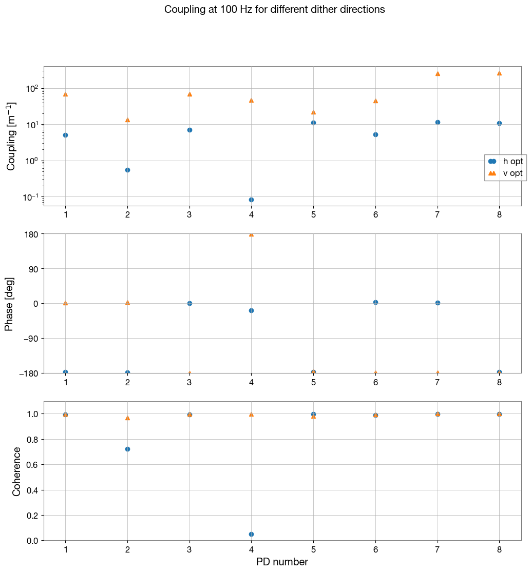
Executive Summary: The coupling for PDs & and 8 is between 200 and 300 RIN per m. This is far too high. We might need to re-align to a different spot tomorrow and retake coupling measurements.

We went back into the lab yesterday afternoon (8th October) to find a spot where the PDs were all aligned well in DC voltage.

We found a spot (by changing PZT mirror translation horizontally across the input beam and by tilting the input mirror. The first we use to optimise the horizontal coupling to the PDs, the second we use to optimise the vertical coupling.

The spot we arrived at for the input pointing is one which doesn't seem to have particularly bad coupling in vertical or yaw for any of the PDs. This is made more problematic as PDs 2 and 6 are mis-aligned relative to the others in pitch and yaw (see graphs of PD DC alignment in LHO alog #87324) we think so there coupling is not minimised close to where the coupling of the other 5 diodes is minimised.

Then we moved the QPD to be centred on this new spot.

We took coupling measurements but will do the calibration tomorrow.

The alignment references for this position are pitch allen key = 14.7mm

Micrometer reading on translation stage = 0.4162 inches.

Today I calibrated the data using the calibration from Tuesday. Since we moved the QPD after that point we need to scale the calibration value.

Attached is Keita's working for this here and here.

The processed data is shown here and the DC values for each PD are here.

One can see that 7 and 8 have a very high coupling, but their DC values are ok. PDs 2 and 4 have low coupling but their DC values are not too low as was the case with one of the PDs on Tuesday (LHO alog #87373), so I trust these values.

Images attached to this report
Displaying report 1-1 of 1.