Displaying reports 44681-44700 of 84921.Go to page Start 2231 2232 2233 2234 2235 2236 2237 2238 2239 End
Reports until 23:47, Wednesday 11 April 2018
H1 IOO (ISC)
koji.arai@LIGO.ORG - posted 23:47, Wednesday 11 April 2018 (41399)
New EOM ready to install

[Calum, Rich, Koji]

The crystal of the new EOM was cleaned and re-mounted in the unit. The impedance of the unit after the cleaning was checked. After a few tweaks of the variable components in the matching circuit, decent 50Ohm matching for all the ports have been recovered.


Crystal Cleaning

- All the jobs were done in the optics lab.
- Made a crystal holding fixture using opto-mechanical components (Attachment 1). Note that a piece of Kapton tape is used to make sure the crystal does not drop.
- Checked the particulates on the optical surfaces with a microscope. The surfaces were named left and right (Attachment 2). There were large number of particulates on the surfaces. (Attachment 3/4)
- Painted FirstContact on the both optical surfaces. We intensionally painted the side of the crystal too so that we can attach a peek tub there for peeling the paint.

- The FC cleaning was pretty effective. It, however, turned out that the assembling of the crystal into the housing cause some dusts atached on the surafaces. This particulates come from the boron nitride used to support the crystal. It is a brittle matrial and emits a lot of dusts.

- So the cleaning was started over again.

- The final cleaning showed excellent dust removal (Attachment 5/6).
- Then the crystal was installed in the housing gently such that the creation of the particulates are minimized.
- The surface observation after the assembly showed sufficiently clean surface, particularly the central area.

Impedance measurement

- The impedance of the EOM + matching circuit was measured with a handheld network analyzer.
- The measurements were done before the disassembly (before the cleaning) and after the post-cleaning assembly. (Attachment 7/8)
  The impedance measurement after the cleaning showed a slight devitation from the nominal tuning. This deviation was tuned by adjusting the trimmers and the inductor windings.
- The final measurement showed sufficient matching (VSWR<1.5) at each frequency.

Images attached to this report
Non-image files attached to this report
H1 ISC (ISC, SYS)
rich.abbott@LIGO.ORG - posted 20:44, Wednesday 11 April 2018 (41398)
First Pass at Electric Field Meter Install
Luis, Craig, Georgia, Calum, Travis, Betsy, Rich

We had a go at running the field meter in End-X today, but hit many snags.  The spectra we were able to take will be posted soon.  At time of writing, we believe one wire (the Y-minus of the Y-axis differential output) is not connected somewhere in the air-to-vacuum wiring chain.  We will investigate tomorrow.  The good news is that we were able to get a first look at the X-axis spectrum, but frankly we are suspicious of the results because we don't see the expected power line features.

We installed the QPD chassis that supports the electrometer into the ISC rack at U-height 3.  The new unit is S1102829, the old unit is S1102832.
LHO VE
kyle.ryan@LIGO.ORG - posted 20:09, Wednesday 11 April 2018 (41397)
Leak checked GV-to-OMC flange at IP3 isolation Gate Valve
Vertex volume isolated from YBM and XBM and being pumped with Vertex MTP backed by Inficon LD

Sprayed audible flow of helium for 25 second duration at each of the two 180 degree separated leak test slots and also slowly moved around entire joint perimeter.  LD background 9 x 10-9 torr*L/sec. Noted same joint at IP4 had visible gap -> sprayed this joint as well.  Signal crept up to 1.5 x 10-8 torr*L/sec. Signal increase was slow and not typical of metal joint leaks.  I'll notify Chandra R. of gappy joint.  
H1 SQZ (SQZ)
nutsinee.kijbunchoo@LIGO.ORG - posted 19:01, Wednesday 11 April 2018 - last comment - 09:44, Thursday 12 April 2018(41385)
HAM6 work today (SQZ)

Sheila, Terry, Daniel, Terra, T Vo, Koji, Nutsinee

 

SQZ beam came back!

This morning we checked that the SQZ beam went into HAM5 and still came back out on the other side to the OMC. The SQZ beam was not perfectly overlapped with the PSL beam but we declared that was good enough.

 

Double-beam

Corey Austin told us we should expect two beams reflected back from the .5 deg wedged thin film polarizer, we only saw one beam came into HAM6. Koji calculated the separation angle to be 2.2 deg. ZM2 diameter is 2", facing the beam at >45 deg left us with about ~1" diameter (2.5 cm). The beam separation at ~1m is ~4cm. It is very likely that the second beam doesn't hit ZM2 as the main beam hits the center of the optic.

 

Beam diverter

We moved the beam diverter such that the transmitted red beam from the VOPO shot out of HAM6 to SQZT6 parallel to the green refl and trans. A new back (right) panel for the SQZT6 has to be made, the beam is now 4 and 1/4 inches from the top of the panel and 9 and 1/4 inches from the -y edge of the panel. Here's a photo of the red trans beam position relative to the view port simulator. We also removed the apertures out of the way. Here's a photo of aperture #1 and #2 that shows their positions before we moved it, which was set after the realignment work in HAM5 last week.

 

IFO beam

The IFO beam that reflected to the squeezer side of HAM6 table measured 7.6 uW and was 6mm above aperture. A black glass beam dump was put behind the beam diverter at roughly 33 deg from the beam diverter's nominal. The sketch shows the angle that the beam came in relative to the beam diverter and how the reflected angle was calculated. The IFO trans beam into OMC measured 1.4mW. We also moved the silicon carbide beam dump to capture the OMC refl beam.

 

Images attached to this report
Comments related to this report
terra.hardwick@LIGO.ORG - 19:52, Wednesday 11 April 2018 (41396)

TVo, Danny, Dan B., Jamie, Terra

We did a beam scan of the output beam today to repeat LLO's output beam study here at LHO. Analysis to come.

We also realigned the OMC Refl beam dump, picture evidence to be attached by Dan.

daniel.brown@LIGO.ORG - 07:37, Thursday 12 April 2018 (41400)

Pictures of OMC refl beam dump alignment

Images attached to this comment
corey.austin@LIGO.ORG - 09:44, Thursday 12 April 2018 (41403)

I had a look at the Zemax model this morning and it agrees with Koji's calculation that the TFP-AR ghost beam does not reach ZM2. In fact, the model shows the beam missing OFI SQZ M2 (the steering mirror on the OFI nearest HAM6) as shown in the attachment.

Non-image files attached to this comment
H1 SUS (DetChar, ISC, SEI)
jeffrey.kissel@LIGO.ORG - posted 18:22, Wednesday 11 April 2018 (41394)
H1 SUS ETMY Aligned to Optical Lever using OPTICALIGN Slider Offsets; Uses only 35% of DAC Range
J. Kissel,

Now that
    - Hugh unlocked H1 EY's HEPI, and brought the seismic isolation system to nominal performance (LHO aLOG 41392), and
    - The vacuum team's got BSC9 to ~1e-6 Torr
I wanted to confirm that we could align to the optical lever (our best alignment reference until we get the arms back). 

We can!

This means we can begin on the long list of "Does It Work?" measurements in chamber:
    - Standard suite of spectra and transfer functions of OSEMs (on both QUAD chains and TMSY)
    - Finding the new highest Vertical and Roll modes
    - Measuring their Q to confirm that the new BRDs are functioning as expected (a la LHO aLOG 40098)
    - Turn on high voltage, measure the ESD effective bias voltage
Images attached to this report
H1 PEM (DetChar, ISC, PEM, SUS, SYS, VE)
jeffrey.kissel@LIGO.ORG - posted 17:47, Wednesday 11 April 2018 - last comment - 19:37, Wednesday 11 April 2018(41393)
Electric Field Meter Channels Installed in PEM EX Front End Code
D. Barker, P. Fritschel, J. Kissel, D. Sigg

I've modified the 
    /opt/rtcds/userapps/release/pem/h1/models/h1pemex.mdl 
front-end model to include new channels for the production electric field meter (EFM) that's being fit-checked and commissioned now, and will be re-installed permanently later this summer. 

The new channels stored in frames will be: 
    Channel Name                       Stored at      Channel Meaning                                               Units
    H1:PEM-EX_EFM_BSC9_ETMX_X_OUT_DQ   16384 Hz       for the X DOF field, aligned with the IFO's global X          V.m^{-1}
    H1:PEM-EX_EFM_BSC9_ETMX_Y_OUT_DQ   16384 Hz       for the Y DOF field, aligned with the IFO's global Y          V.m^{-1}
where, for now they'll be stored at 16384 Hz while we explore the usefulness of the sensor.

I've also added infrastructure for the band-limited RMS'ing of the signal of up to 5 bands (for now called A, B, C, D, and E), where after looking at the spectra once installed and functional, we'll decide the frequency bands that we'd like to use. Their interesting channels are 
    H1:PEM-EX_EFM_BSC9_ETMX_X_RMSLP_A_OUT16
    H1:PEM-EX_EFM_BSC9_ETMX_X_RMSLP_B_OUT16
    H1:PEM-EX_EFM_BSC9_ETMX_X_RMSLP_C_OUT16
    H1:PEM-EX_EFM_BSC9_ETMX_X_RMSLP_D_OUT16
    H1:PEM-EX_EFM_BSC9_ETMX_X_RMSLP_E_OUT16

    H1:PEM-EX_EFM_BSC9_ETMX_Y_RMSLP_A_OUT16
    H1:PEM-EX_EFM_BSC9_ETMX_Y_RMSLP_B_OUT16
    H1:PEM-EX_EFM_BSC9_ETMX_Y_RMSLP_C_OUT16
    H1:PEM-EX_EFM_BSC9_ETMX_Y_RMSLP_D_OUT16
    H1:PEM-EX_EFM_BSC9_ETMX_Y_RMSLP_E_OUT16

Dave has installed and restarted the model, and restarted the DAQ, so all of the above channels should now be in the frames (LHO aLOG 41390), though there's nothing yet hooked up to it.

MEDM overview screen to come.

Other Details:
    I've wired up the signals to be connected to ADC Card Number 1 (counting from zero), channels 28 and 29 (again, counting from zero). These should correspond to the (dreadfully confusing and out of date) list of ISC channels for the end stations -- Section 4 of T1100472 -- in which these channels are labeled to be on 
    - "ADC 0" (counting from zero, but actually corresponds to physical Card Number 1 in the IO chassis, which has 4 cards) under 
    - "DB9_8" (the 8th DB9 spigot of a standard AA chassis that's hooked up to Card Number 1)
    - channels 29 and 30 (counting from 1)

This is assuming that 
    - the signals get plugged into a "Modified QPD Amplifier" indicated on Rich's new EFM wiring diagram, D1800088, which is a modified ISC Dual QPD Transimpedance Amplifier Chassis (D1002481) in which one half is converted to handle the output of this new field meter, recombined into the DB25 pin output, 
    - sent to an ISC Whitening Chassis (D1002559) where we can gain up the signal before it's finally
    - sent out on a DB9 into Card Number 1's AA chassis, on the 8th port in the channels described above.
but I'll have to confirm all of this with Rich.

    In addition to creating the new EFM block, I've also taken contamination control to heart, performing a bit of "clean as you go" on the h1pemex model. Attached are screenshots of the before & after. The clean-up includes:
    Top Level:
    - Moving the ADCs off to the left, and connecting them to the central EX block via tags instead of direct wires
    - Reordered in the inputs of the EX block, so that the ADCs come into the block in numerical order
    EX Block:
    - Wrapped the ambiguously named ADC_0 channels (which apparently read out the ESD driver's power monitors) into a subsystem, so they take up as much space as the other sensor blocks
    - Removed all of the unnecessary DAQ channel lists that merely contained commented out copies of the DouTone Channel
    - Completed the labeling scheme for all blocks, aligned them to the sensor blocks, and to themselves.
Images attached to this report
Comments related to this report
jeffrey.kissel@LIGO.ORG - 19:37, Wednesday 11 April 2018 (41395)
I've created a rudimentary MEDM screen for the field meter that covers all of the new infrastructure. It can be found under the PEM menu at the bottom. See attached screenshot. No infrastructure has been filled in, but we'll get there.
Images attached to this comment
H1 SEI
hugh.radkins@LIGO.ORG - posted 17:18, Wednesday 11 April 2018 - last comment - 12:24, Friday 13 April 2018(41392)
EndY Yend BSC10 EY HEPI Unlocked

At the request of the controls engineer, the Yend HEPI platform was unlocked.  No issues other than the usual terrible access in unlocking.

Ran Cartesian Range-of-Motion tests of 0.5mm for DOFs X Y Z RX RY & RZ.  Probably sufficient to do X Y & Z but forgot about that before getting started.

The attached plot shows the X Y Z Range of Motion with the local sensors over laying one another.  This shows no bad actors of local sensor clipping, slope differences or changes.  HEPI is clear to +- 0.5mm.  Will check larger ranges most importantly for Y (tidal) another time but this will get us by for now.

The HEPI and ISI platforms are Isolated.

Images attached to this report
Comments related to this report
hugh.radkins@LIGO.ORG - 12:24, Friday 13 April 2018 (41426)

The hints of clipping seen in the above plot was bothering me so I ran another stroke this morning, this time to +- 0.75mm on X Y & Z dofs.  I ran the offsets with the platform Isolated this time.

The attached shows, again, no evidence of any clipping on the platform.   Again, any problems would apprea as clipping or slope changes.

Images attached to this comment
LHO VE
chandra.romel@LIGO.ORG - posted 17:15, Wednesday 11 April 2018 (41391)
IP11+baffle re-install and EY leak check

Kyle, Gerardo, Mark D. Tyler, Chandra

This morning I vented IP11 (again!) with bottled N2 and then Mark and Tyler bolted it to the new IP11 valve. The chevron baffle housing was already attached to bottom of IP11 from leak testing yesterday (baffle housing SN002 is leak free). I leak checked the bottom flange of new IP11 valve and also the new HV NEG housing/valve on BSC6, with background <1e-9 mbar-L/s. No leaks detected. Later Kyle leak tested the flange connecting bottom of baffle to top of IP11 valve. No leaks detected. EY main turbo is valved back in and good to go for in-vacuum high voltage.

We left a hung turbo pumping on IP11 overnight, backed by leak checker.

BSC10 turbo cart is also valved in with AIP ON.

H1 CDS (DAQ)
david.barker@LIGO.ORG - posted 17:09, Wednesday 11 April 2018 (41390)
h1pemex and DAQ restart

WP7469 Electric Field Meter channels added to h1pemex

Daniel, Jeff K, Dave:

The second ADC was added to h1pemex, its channels 28,29 were imported as EX_EFM_BSC9_ETMX_[X,Y]. This required some shuffling of ADC parts within h1pemex.

The model and DAQ were restarted at 17:00 PDT.

LHO General
patrick.thomas@LIGO.ORG - posted 16:27, Wednesday 11 April 2018 (41389)
Ops Summary
14:55 UTC Truck from Apollo through gate
15:13 UTC Jeff B. to end X to reset dust monitor 2
15:15 UTC Chandra to end Y
15:37 UTC Terry to HAM6 to start aligning squeezer and PSL beams
15:39 UTC Jeff B. back
15:44 UTC Karen to end Y
15:47 UTC Thomas, Sheila and Stan to HAM6 to measure beam profiles
16:03 UTC Tyler retrieving rigging from LVEA and then Mark and Tyler to end Y to install ion pump
16:10 UTC Robert, Richard A., Luis to optics lab
16:11 UTC Terra to HAM6
16:12 UTC Corey to LVEA looking for topgun
16:18 UTC Nutsinee to HAM6
16:23 UTC Corey back
16:28 UTC Travis to end X to retrieve glue curing oven
16:33 - 16:37 UTC Tour in CR
16:37 UTC Corey retrieving a bottle of nitrogen from the cleaning area
16:45 UTC Betsy to LVEA to retrieve equipment
17:01 UTC Karen leaving end Y
17:01 UTC Travis back. Looking for Calum and then back to end X for forensics on fiber break
17:03 - 17:10 UTC Tour in CR
17:25 UTC Georgia to optics lab
17:25 UTC Sebestian to LVEA
17:31 UTC Gerardo to end Y
17:56 UTC Aidan to HAM6
18:11 UTC Jeff B. to LVEA to install camera viewport guard (WP 7468)
18:12 UTC Jason to optics lab and H2 PSL enclosure for property inventory
18:14 UTC Karen to end Y to drop off supplies
18:27 UTC Mark and Tyler done at end Y. Mark dropping off rigging in LVEA.
18:37 UTC Jeff B. done
18:43 UTC Calum and Travis back from end X
19:00 UTC Jason back
19:15 UTC Dave rebooting crashed h1build machine
19:17 UTC Filiberto to vault to disconnect equipment in preparation for testing new power supply
19:21 UTC Marc and Ethan (job shadow) to vault power room (WP 7470)
19:48 UTC Terra and Dan out for lunch
19:54 UTC Georgia, Craig and Luis out of optics lab for lunch
19:56 UTC Ed to mid Y to measure cable lengths
20:00 UTC Nutsinee back
20:28 UTC Marc and Ethan back
20:34 UTC Ed back
20:41 UTC Dave restarting SUS ETMY
20:46 UTC Travis and Calum to end X to test fit electrometer
20:47 UTC Gerardo to end Y
20:51 - 20:57 UTC Tour in CR
20:57 UTC Craig to end X to work with Calum on electrometer
21:04 UTC Betsy to end X
21:06 UTC Bubba to LVEA to get prybars
21:11 UTC Georgia and Luis to end X
21:13 UTC Bubba out
21:32 UTC Jeff K. redamping ETMY/TMSY
21:33 UTC Daniel B. to HAM6
21:37 UTC Jeff K. damped end Y ISI
21:46 UTC Jeff B. to LVEA to measure size of viewport guillotine slot
21:56 UTC Chandra to end Y to valve back in turbo pump
22:02 UTC Jeff B. back
22:27 UTC Cheryl to mid Y
22:33 UTC Gerardo to mid Y
Cheryl and Gerardo back
H1 PSL
sheila.dwyer@LIGO.ORG - posted 16:14, Wednesday 11 April 2018 (41388)
FSS oscillating

Sheila, Jamie, Nutsinee 

The FSS started to oscillate this afternoon, preventing us from relocking the IMC for people to take beam profile measurements in HAM6.  We reduced the FSS common gain from 24.5 dB to -1.2dB which has reduced but not fixed the oscillation.  The IMC is now locking, but we clearly still have a large oscialltion, so it would be good to check on the gain of this loop.

H1 CDS
david.barker@LIGO.ORG - posted 14:24, Wednesday 11 April 2018 (41384)
h1susey models compiled with -O3 optimization

WP7472 h1susey models recompiled with -O3 optimization

Dave, Miriam

As part of Miriam's glitch investigation, I rebuilt all the h1susey models (h1iopsusey, h1susetmy, h1sustmsy, h1susetmypi) with the -O3 optimization flag. All the models were restarted at 13:41 PDT.

As Rolf found when he did this at LLO, the optimization change sped up the models by a few microseconds. For example h1susetmy was running at 36uS and is now running at 33uS.

Travis suggested we keep the watchdogs active on ETMY and TMSY, and therefore the IOP has its DACKILL bit set (STATEWORD = 128).

H1 PSL (PSL)
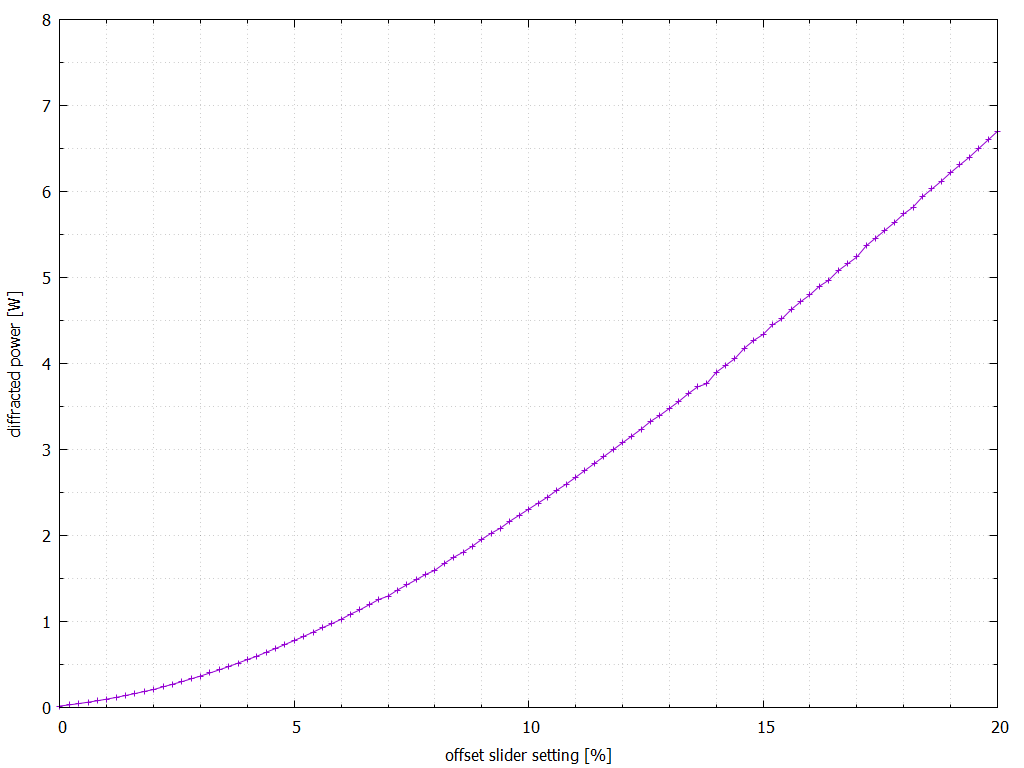
peter.king@LIGO.ORG - posted 12:50, Wednesday 11 April 2018 - last comment - 14:00, Wednesday 11 April 2018(41378)
70 W amplifier status
The diffracted power versus MEDM offset slider setting was measured (see attached plot).
The output power from the neoVAN amplifier was measured to be 79.25 +/- 0.05 W.

    We will need this when the first loop power stabilisation comes back on line.




  Ed / Peter
Images attached to this report
Comments related to this report
peter.king@LIGO.ORG - 14:00, Wednesday 11 April 2018 (41383)
A couple of other plots that will come in handy for bringing the power stabilisation back on line.  One shows
the variation in the output power of the neoVAN amplifier.  The other is essentially the variation in the
pre-modecleaner output.
Images attached to this comment
H1 CDS
david.barker@LIGO.ORG - posted 12:49, Wednesday 11 April 2018 (41380)
h1build machine needed rebooting, Beckhoff SDF systems were restarted

h1build had stopped running (208.5 day bug?). I rebooted by pressing the front panel reset button and started all the Beckhoff SDF systems

H1 SYS (ISC, PEM, SYS)
georgia.mansell@LIGO.ORG - posted 12:44, Wednesday 11 April 2018 - last comment - 12:50, Wednesday 11 April 2018(41374)
Electric field meter common mode rejection and dark noise

[Rich A, Calum T, Luis S, Craig C, Koji A, Georgia M]

We have begun testing and characterising the electric field meter (EFM) brought over from Caltech. The first photo shows the EFM with the sensing plates shorted. All of this activity took place in the optics lab.

We used the SR785 to take noise spectra with the plates grounded, and of the ambient electric field (or acoustic environmental noise) for the X and Y plates. These spectra are shown in the first plot, the y data have 25 averages while the X data has one. The grounded spectra are in agreement (the 60 Hz harmonics are present in the blue x trace also) which makes sense, however I’m not sure why there is a significant difference between the x and y ambient spectra.

We then tuned the digital potentiometers, using the Arduino and Luis' code, to optimise the common mode rejection between the X+ and X- plates and the Y+ and Y- plates. To do this we attached the calibration plates over the sensor plates (but electrically isolated), and drove the common mode with a 1V signal. This configuration is shown in the second photo. The transfer functions to the common mode, and to a single plate, are attached for the Y plates. (the X data did not save properly and we did not have time to go back and get it. If I remember correctly we had ~47 dB of common mode rejection on the X plates, but please correct me if this is wrong). We achieved roughly 60 dB of common mode rejection between the y plates at 1 kHz, though this gets worse at higher frequencies.

Images attached to this report
Comments related to this report
rainer.weiss@LIGO.ORG - 12:29, Wednesday 11 April 2018 (41379)SYS
Good that you got the device together so fast. The noise curves for x should be lower and the ones for y do not make sense. I am wondering about the calibration for electric field. You will need to take account of the copper button. The field between the calibration plate and the button will be higher than in the region between the plates outside of the button. The ratio of the fields in the two places will be in the inverse ratio of the gap space. One will need to estimate the induced surface charge on the sense plate by adding the contribution for the surface charge times area of the two regions with different gap spacing. If this is not done the field sensitivity of the device will be estimated as too high.
georgia.mansell@LIGO.ORG - 12:50, Wednesday 11 April 2018 (41381)

We retook the noise spectra, the ambiant Y trace is fixed, added the SR785 noise, and made the number of averages consistent (15).

We also improved the common mode rejection between the +X and X plates, and added that transfer function to the log post. Note that the hexidecimal digital potentiometer values are 058e and 0550 for the X and Y directions respectively. This corresponds to a wiper-to-b resistance of R_x = 7773.44 Ohms and R_y = 6562.5 Ohms.
 
Also measured the capacitance from sensor plates to body of the cube (ground):
X+ 18 pF
X- 18.4 pF
Y+ 19.4 pF
Y- 19.3 pF
LHO VE
chandra.romel@LIGO.ORG - posted 17:21, Tuesday 30 January 2018 - last comment - 15:05, Wednesday 11 April 2018(40339)
IP4 installed

[Mark D, Tyler G, Bubba G, Kyle R. Gerardo M. Chandra R]

Team effort today installing, leak checking, and activating ion pump #4. Mark, Tyler, and Bubba installed the pump this morning (thanks, guys!) and then Kyle and Gerardo leak checked with calibrated leak detector. We found a small (1.9 Torr-L/s) He leak at the 8" CFF (from factory bake?). I tightened the fasteners and made leak significantly worse (e-8 range), but then Kyle improved it with some muscle. We're calling it good at 1.1e-9 Torr-L/s He and turned high voltages on. Current was high to start (23 mA), but coming down with time.

Images attached to this report
Comments related to this report
chandra.romel@LIGO.ORG - 15:05, Wednesday 11 April 2018 (41386)

I'm sure I meant to write 1.9e-9 Torr-L/s laugh

Displaying reports 44681-44700 of 84921.Go to page Start 2231 2232 2233 2234 2235 2236 2237 2238 2239 End