Displaying reports 621-640 of 85747.Go to page Start 28 29 30 31 32 33 34 35 36 End
Reports until 16:46, Tuesday 21 October 2025
H1 CDS (PEM)
filiberto.clara@LIGO.ORG - posted 16:46, Tuesday 21 October 2025 (87628)
MY PEM AA Chassis

WP 12850

Chassis found with positive 15V LED powered off. Side rack 1A fuse was blown. Replaced shorted C12 capacitor on the first D070081 board. Chassis reinstalled.

LHO VE
jordan.vanosky@LIGO.ORG - posted 16:40, Tuesday 21 October 2025 (87619)
Quarterly Functionality Test Performed on EY/MY Turbo Pumps and Purge Air Skid
Procedure checklist for both stations completed.  No issues were identified at this time.

MY: Scroll pump hours: 98.5
       Turbo pump hours: 236
       Crash bearings: 100%

EY: Scroll pump hours: 89.9
       Turbo pump hours: 1297
       Crash bearings: 100%
 
Closing WP 12843 FAMIS 31280 and 31288
EY purge air compressor was ran for ~3 hours, dew point mointor quickly reached <-40 degF and at time of shut down was reporting -76 degF.

New system, so there are only a few run hours.

3 hours total, distributed between the three scroll compressors.
 
Images attached to this report
H1 General
oli.patane@LIGO.ORG - posted 16:36, Tuesday 21 October 2025 (87626)
Ops Day Shift End

TITLE: 10/21 Day Shift: 1430-2330 UTC (0730-1630 PST), all times posted in UTC
STATE of H1: Preventive Maintenance
INCOMING OPERATOR: Ryan C
SHIFT SUMMARY: Currently trying to relocking. Having some trouble, partially due to extremely high secondary microseism, and partly due to unknown issues.
LOG: 

14:30UTC Detector in IDLE due to high secondary microseism
20:47 Start relocking
    20:47 Initial alignment
    21:25 Initial alignment done
    Lockloss from LOWNOISE_LENGTH_CONTROL - ringup started when gains were changed, lost lock 10s later                                                                                                                                                                                                                                                                                                                                                                                    

Start Time System Name Location Lazer_Haz Task Time End
15:06 FAC Eric EX, EY n Lubricating fans 16:06
15:08 VAC Gerardo EX n Ion pump 15:44
15:09 VAC Jordan MY, EY n Turbo pump tests 18:35
15:15 FAC Kim, Nellie HAM Shack n Tech clean 16:08
15:19 FAC Tyler EX n Joining Eric 16:06
15:45 EE Fil LVEA n Swapping MC lower stage satamps 17:23
15:46 FAC Randy LVEA n Inspections 16:06
16:05 FAC Mitchell LVEA n Moving stuff to SEI rack 16:12
16:08 FAC Kim, Nellie LVEA n Tech clean 17:35
16:58 FAC Tyler LVEA, MX, MY n 3IFO checks 18:43
17:00 EE Marc LVEA n Joining Fil 17:06
17:08 SEI Jim, Randy LVEA n Looking around BSC2 17:59
17:24   Keita, Rahul OpticsLab y(local) ISS Array 19:48
17:31 EE Fil EX, EY n Checking out fibers and figuring out power supply issue 19:21
17:35 SEI Jim LVEA n Working on HAM7 SEI satamps 17:59
17:35 FAC Nellie EY n Tech clean 18:33
17:36 FAC Kim EX n Tech clean 19:23
17:36 EE Marc EX n Replacing failed fan 18:41
17:46 FAC Randy EY, EX n Checks 19:37
18:45 EE Marc EX n Get ready to restart EX pump controller 19:45
19:30 VAC Gerardo EY n Turning off purge air pumps 20:26
19:37 FAC Randy XTube n Caulking the tube 21:59
20:03   RyanC LVEA n Sweeping 20:26
21:49 EE Marc, Fil MY n Investigating PEM power supply failure 22:11
22:43 PSL Keita Optics lab lOCAL ISS array 23:43
23:03 EE Marc, Fil MY n Replacing power supply 23:23
H1 General
ryan.crouch@LIGO.ORG - posted 15:59, Tuesday 21 October 2025 - last comment - 16:49, Tuesday 21 October 2025(87621)
OPS Tuesday EVE shift start

TITLE: 10/21 Eve Shift: 2330-0500 UTC (1630-2200 PST), all times posted in UTC
STATE of H1: Preventive Maintenance
OUTGOING OPERATOR: Oli
CURRENT ENVIRONMENT:
    SEI_ENV state: USEISM
    Wind: 4mph Gusts, 1mph 3min avg
    Primary useism: 0.07 μm/s
    Secondary useism: 0.49 μm/s 
QUICK SUMMARY:

Comments related to this report
ryan.crouch@LIGO.ORG - 16:49, Tuesday 21 October 2025 (87627)PEM

Looking at the high 2ndary microseism it seems to be from the storm off west coast with wave swells of 10m and a swell period of 7.6sec ( ~0.13Hz). Something weird is that the MY seismometer had a big sudden jump in motion at ~23:10 UTC.

Images attached to this comment
H1 ISC
sheila.dwyer@LIGO.ORG - posted 15:53, Tuesday 21 October 2025 - last comment - 15:57, Tuesday 21 October 2025(87624)
gain scaling change reverted

I set the gain scaling back to use IMC INput power, since we had an unusual lockloss at LSC length control Elenna sees is related to LSC loop gain changes. 

This change should have made a 5% change in the loop gain, so if this was the reason for the lockloss one of our loops is very close to unstable.  

Comments related to this report
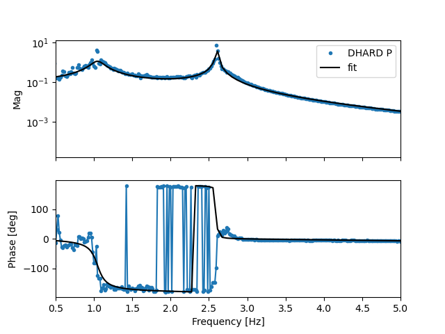
elenna.capote@LIGO.ORG - 15:57, Tuesday 21 October 2025 (87625)

Here is a scope showing the LSC loop ring up. The ring up started about 10s before lockloss which coincides with a few gains and filter changes in the LSC loops.

Images attached to this comment
H1 SUS
ryan.crouch@LIGO.ORG - posted 15:32, Tuesday 21 October 2025 (87622)
Weekly In-Lock SUS Charge Measurement FAMIS

Closes FAMIS28428, last checked alog87482.

Injections were not made as we were not locked this morning.

H1 TCS
ryan.crouch@LIGO.ORG - posted 15:28, Tuesday 21 October 2025 (87437)
TCS Chiller Water Level Top-Off - Biweekly

Closes FAMIS27826, last checked in alog87432.

Y was at 9.5 I added 300ml and brought it up to 10.3. 

X was at 29.8, I added 250ml and brought it up to 30.4.

H1 SUS (SUS)
filiberto.clara@LIGO.ORG - posted 14:39, Tuesday 21 October 2025 - last comment - 21:26, Tuesday 28 October 2025(87620)
Sat Amps Modified: Lower Stages MC1, MC2, MC3, PR3, and SR3

WP 12844
ECR E2400330
Modified List T2500232

The following SUS SAT Amps were upgraded per ECR E2400330. Modification improves the whitening stage to reduce ADC noise from 0.05 to 10 Hz.

Suspension Old New OSEM
MC1 M2 S1100182 S1100148 ULLLURLR
MC1 M3 S1100176 S1100135 ULLLURLR
MC3 M2 S1100069 S1100106 ULLLURLR
MC3 M3 S1100123 S1100093 ULLLURLR
PR3 M2 S1100063 S1000274 ULLLURLR
PR3 M3 S1100113 S1000277 ULLLURLR
MC2 M2 S1100110 S1100169 ULLLURLR
MC2 M3 S1000294 S1100174 ULLLURLR
SR3 M2 S1100105 S1100146 ULLLURLR
SR3 M3 S1100074 S1100134 ULLLURLR

F. Clara, J. Kissel, O. Patane

Comments related to this report
oli.patane@LIGO.ORG - 21:19, Tuesday 28 October 2025 (87816)

Here's the characterization data and fit results for S1100148, assigned to MC1 M2's ULLLURLR OSEMs.

This sat amp is a UK 4CH sat amp, D0900900 / D0901284. The data was taken per methods described in T080062-v3, using the diagrammatic setup shown on PAGE 1 of the Measurement Diagrams from LHO:86807.

The data was processed and fit using ${SusSVN}/trunk/electronicstesting/lho_electronics_testing/satamp/ECR_E2400330/Scripts/
plotresponse_S1100148_MC1_M2_ULLLURLR_20251020.m

Explicitly, the fit to the whitening stage zero and pole, the transimpedance feedback resistor, and foton design string are:

Optic  Stage  Serial_Number  Channel_Number  OSEM_Name  Zero_Pole_Hz  R_TIA_kOhm  Foton_Design 
MC1 M2 S1100148 CH1 UL 0.0949:5.19 120.3 zpk([5.19],[0.0949],1,"n")
      CH2 LL 0.0961:5.24 120.5 zpk([5.24],[0.0961],1,"n")
      CH3 UR 0.0962:5.25 120.5 zpk([5.25],[0.0962],1,"n")
      CH4 LR 0.0967:5.27 120.375 zpk([5.27],[0.0967],1,"n")

The attached plot and machine readable .txt file version of the above table are also found in ${SusSVN}/trunk/electronicstesting/lho_electronics_testing/satamp/ECR_E2400330/Results/
2025-10-20_UKSatAmp_S1100148_D0901284-v5_fitresults.txt

Per usual, R_TIA_kOhm is not used in the compensation filter -- but after ruling out an adjustment in the zero frequency (by zeroing the phase residual at the lowest few frequency points), Jeff nudged the transimpedance a bit to get the magnitude scale within the ~0.25%, shown in the attached results. Any scaling like this will be accounted for instead with the absolute calibration step, i.e. Side Quest 4 from G2501621, a la what was done for PR3 and SR3 top masses in LHO:86222 and LHO:84531 respectively.

Non-image files attached to this comment
oli.patane@LIGO.ORG - 21:21, Tuesday 28 October 2025 (87817)

Here's the characterization data and fit results for S1100135, assigned to MC1 M3's ULLLURLR OSEMs.

This sat amp is a UK 4CH sat amp, D0900900 / D0901284. The data was taken per methods described in T080062-v3, using the diagrammatic setup shown on PAGE 1 of the Measurement Diagrams from LHO:86807.

The data was processed and fit using ${SusSVN}/trunk/electronicstesting/lho_electronics_testing/satamp/ECR_E2400330/Scripts/
plotresponse_S1100135_MC1_M3_ULLLURLR_20251020.m

Explicitly, the fit to the whitening stage zero and pole, the transimpedance feedback resistor, and foton design string are:

Optic  Stage  Serial_Number  Channel_Number  OSEM_Name  Zero_Pole_Hz  R_TIA_kOhm  Foton_Design 
MC1 M3 S1100135 CH1 UL 0.0955:5.21 120.25 zpk([5.21],[0.0955],1,"n")
      CH2 LL 0.0962:5.25 120.25 zpk([5.25],[0.0962],1,"n")
      CH3 UR 0.0973:5.31 120.125 zpk([5.31],[0.0973],1,"n")
      CH4 LR 0.097:5.3 120.125 zpk([5.3],[0.097],1,"n")

The attached plot and machine readable .txt file version of the above table are also found in ${SusSVN}/trunk/electronicstesting/lho_electronics_testing/satamp/ECR_E2400330/Results/
2025-10-20_UKSatAmp_S1100135_D0901284-v5_fitresults.txt

Per usual, R_TIA_kOhm is not used in the compensation filter -- but after ruling out an adjustment in the zero frequency (by zeroing the phase residual at the lowest few frequency points), Jeff nudged the transimpedance a bit to get the magnitude scale within the ~0.25%, shown in the attached results. Any scaling like this will be accounted for instead with the absolute calibration step, i.e. Side Quest 4 from G2501621, a la what was done for PR3 and SR3 top masses in LHO:86222 and LHO:84531 respectively.

Non-image files attached to this comment
oli.patane@LIGO.ORG - 21:21, Tuesday 28 October 2025 (87818)

Here's the characterization data and fit results for S1100106, assigned to MC3 M2's ULLLURLR OSEMs.

This sat amp is a UK 4CH sat amp, D0900900 / D0901284. The data was taken per methods described in T080062-v3, using the diagrammatic setup shown on PAGE 1 of the Measurement Diagrams from LHO:86807.

The data was processed and fit using ${SusSVN}/trunk/electronicstesting/lho_electronics_testing/satamp/ECR_E2400330/Scripts/
plotresponse_S1100106_MC3_M2_ULLLURLR_20251020.m

Explicitly, the fit to the whitening stage zero and pole, the transimpedance feedback resistor, and foton design string are:

Optic  Stage  Serial_Number  Channel_Number  OSEM_Name  Zero_Pole_Hz  R_TIA_kOhm  Foton_Design 
MC3 M2 S1100106 CH1 UL 0.0978:5.34 120.25 zpk([5.34],[0.0978],1,"n")
      CH2 LL 0.096:5.24 120.5 zpk([5.24],[0.096],1,"n")
      CH3 UR 0.0973:5.32 120.125 zpk([5.32],[0.0973],1,"n")
      CH4 LR 0.0955:5.21 120.5 zpk([5.21],[0.0955],1,"n")

The attached plot and machine readable .txt file version of the above table are also found in ${SusSVN}/trunk/electronicstesting/lho_electronics_testing/satamp/ECR_E2400330/Results/
2025-10-20_UKSatAmp_S1100106_D0901284-v5_fitresults.txt

Per usual, R_TIA_kOhm is not used in the compensation filter -- but after ruling out an adjustment in the zero frequency (by zeroing the phase residual at the lowest few frequency points), Jeff nudged the transimpedance a bit to get the magnitude scale within the ~0.25%, shown in the attached results. Any scaling like this will be accounted for instead with the absolute calibration step, i.e. Side Quest 4 from G2501621, a la what was done for PR3 and SR3 top masses in LHO:86222 and LHO:84531 respectively.

Non-image files attached to this comment
oli.patane@LIGO.ORG - 21:22, Tuesday 28 October 2025 (87819)

Here's the characterization data and fit results for S1100093, assigned to MC3 M3's ULLLURLR OSEMs.

This sat amp is a UK 4CH sat amp, D0900900 / D0901284. The data was taken per methods described in T080062-v3, using the diagrammatic setup shown on PAGE 1 of the Measurement Diagrams from LHO:86807.

The data was processed and fit using ${SusSVN}/trunk/electronicstesting/lho_electronics_testing/satamp/ECR_E2400330/Scripts/
plotresponse_S1100093_MC3_M3_ULLLURLR_20251020.m

Explicitly, the fit to the whitening stage zero and pole, the transimpedance feedback resistor, and foton design string are:

Optic  Stage  Serial_Number  Channel_Number  OSEM_Name  Zero_Pole_Hz  R_TIA_kOhm  Foton_Design 
MC3 M3 S1100093 CH1 UL 0.0966:5.28 120.0 zpk([5.28],[0.0966],1,"n")
      CH2 LL 0.099:5.4 120.375 zpk([5.4],[0.099],1,"n")
      CH3 UR 0.0969:5.3 120.0 zpk([5.3],[0.0969],1,"n")
      CH4 LR 0.0966:5.28 120.125 zpk([5.28],[0.0966],1,"n")

The attached plot and machine readable .txt file version of the above table are also found in ${SusSVN}/trunk/electronicstesting/lho_electronics_testing/satamp/ECR_E2400330/Results/
2025-10-20_UKSatAmp_S1100093_D0901284-v5_fitresults.txt

Per usual, R_TIA_kOhm is not used in the compensation filter -- but after ruling out an adjustment in the zero frequency (by zeroing the phase residual at the lowest few frequency points), Jeff nudged the transimpedance a bit to get the magnitude scale within the ~0.25%, shown in the attached results. Any scaling like this will be accounted for instead with the absolute calibration step, i.e. Side Quest 4 from G2501621, a la what was done for PR3 and SR3 top masses in LHO:86222 and LHO:84531 respectively.

Non-image files attached to this comment
oli.patane@LIGO.ORG - 21:23, Tuesday 28 October 2025 (87820)

Here's the characterization data and fit results for S1000274, assigned to PR3 M2's ULLLURLR OSEMs.

This sat amp is a UK 4CH sat amp, D0900900 / D0901284. The data was taken per methods described in T080062-v3, using the diagrammatic setup shown on PAGE 1 of the Measurement Diagrams from LHO:86807.

The data was processed and fit using ${SusSVN}/trunk/electronicstesting/lho_electronics_testing/satamp/ECR_E2400330/Scripts/
plotresponse_S1000274_PR3_M2_ULLLURLR_20251020.m

Explicitly, the fit to the whitening stage zero and pole, the transimpedance feedback resistor, and foton design string are:

Optic  Stage  Serial_Number  Channel_Number  OSEM_Name  Zero_Pole_Hz  R_TIA_kOhm  Foton_Design 
PR3 M2 S1000274 CH1 UL 0.0947:5.17 120.25 zpk([5.17],[0.0947],1,"n")
      CH2 LL 0.0961:5.24 120.25 zpk([5.24],[0.0961],1,"n")
      CH3 UR 0.0963:5.26 120.0 zpk([5.26],[0.0963],1,"n")
      CH4 LR 0.0962:5.25 120.25 zpk([5.25],[0.0962],1,"n")

The attached plot and machine readable .txt file version of the above table are also found in ${SusSVN}/trunk/electronicstesting/lho_electronics_testing/satamp/ECR_E2400330/Results/
2025-10-20_UKSatAmp_S1000274_D0901284-v5_fitresults.txt

Per usual, R_TIA_kOhm is not used in the compensation filter -- but after ruling out an adjustment in the zero frequency (by zeroing the phase residual at the lowest few frequency points), Jeff nudged the transimpedance a bit to get the magnitude scale within the ~0.25%, shown in the attached results. Any scaling like this will be accounted for instead with the absolute calibration step, i.e. Side Quest 4 from G2501621, a la what was done for PR3 and SR3 top masses in LHO:86222 and LHO:84531 respectively.

Non-image files attached to this comment
oli.patane@LIGO.ORG - 21:24, Tuesday 28 October 2025 (87821)

Here's the characterization data and fit results for S1000277, assigned to PR3 M3's ULLLURLR OSEMs.

This sat amp is a UK 4CH sat amp, D0900900 / D0901284. The data was taken per methods described in T080062-v3, using the diagrammatic setup shown on PAGE 1 of the Measurement Diagrams from LHO:86807.

The data was processed and fit using ${SusSVN}/trunk/electronicstesting/lho_electronics_testing/satamp/ECR_E2400330/Scripts/
plotresponse_S1000277_PR3_M3_ULLLURLR_20251020.m

Explicitly, the fit to the whitening stage zero and pole, the transimpedance feedback resistor, and foton design string are:

Optic  Stage  Serial_Number  Channel_Number  OSEM_Name  Zero_Pole_Hz  R_TIA_kOhm  Foton_Design 
PR3 M3 S1000277 CH1 UL 0.0962:5.26 120.0 zpk([5.26],[0.0962],1,"n")
      CH2 LL 0.0948:5.17 120.5 zpk([5.17],[0.0948],1,"n")
      CH3 UR 0.0941:5.12 120.5 zpk([5.12],[0.0941],1,"n")
      CH4 LR 0.0958:5.23 120.25 zpk([5.23],[0.0958],1,"n")

The attached plot and machine readable .txt file version of the above table are also found in ${SusSVN}/trunk/electronicstesting/lho_electronics_testing/satamp/ECR_E2400330/Results/
2025-10-20_UKSatAmp_S1000277_D0901284-v5_fitresults.txt

Per usual, R_TIA_kOhm is not used in the compensation filter -- but after ruling out an adjustment in the zero frequency (by zeroing the phase residual at the lowest few frequency points), Jeff nudged the transimpedance a bit to get the magnitude scale within the ~0.25%, shown in the attached results. Any scaling like this will be accounted for instead with the absolute calibration step, i.e. Side Quest 4 from G2501621, a la what was done for PR3 and SR3 top masses in LHO:86222 and LHO:84531 respectively.

Non-image files attached to this comment
oli.patane@LIGO.ORG - 21:24, Tuesday 28 October 2025 (87822)

Here's the characterization data and fit results for S1100169, assigned to MC2 M2's ULLLURLR OSEMs.

This sat amp is a UK 4CH sat amp, D0900900 / D0901284. The data was taken per methods described in T080062-v3, using the diagrammatic setup shown on PAGE 1 of the Measurement Diagrams from LHO:86807.

The data was processed and fit using ${SusSVN}/trunk/electronicstesting/lho_electronics_testing/satamp/ECR_E2400330/Scripts/
plotresponse_S1100169_MC2_M2_ULLLURLR_20251020.m

Explicitly, the fit to the whitening stage zero and pole, the transimpedance feedback resistor, and foton design string are:

Optic  Stage  Serial_Number  Channel_Number  OSEM_Name  Zero_Pole_Hz  R_TIA_kOhm  Foton_Design 
MC2 M2 S1100169 CH1 UL 0.0976:5.34 120.25 zpk([5.34],[0.0976],1,"n")
      CH2 LL 0.0964:5.26 120.25 zpk([5.26],[0.0964],1,"n")
      CH3 UR 0.0955:5.21 120.25 zpk([5.21],[0.0955],1,"n")
      CH4 LR 0.0973:5.31 120.2 zpk([5.31],[0.0973],1,"n")

The attached plot and machine readable .txt file version of the above table are also found in ${SusSVN}/trunk/electronicstesting/lho_electronics_testing/satamp/ECR_E2400330/Results/
2025-10-20_UKSatAmp_S1100169_D0901284-v5_fitresults.txt

Per usual, R_TIA_kOhm is not used in the compensation filter -- but after ruling out an adjustment in the zero frequency (by zeroing the phase residual at the lowest few frequency points), Jeff nudged the transimpedance a bit to get the magnitude scale within the ~0.25%, shown in the attached results. Any scaling like this will be accounted for instead with the absolute calibration step, i.e. Side Quest 4 from G2501621, a la what was done for PR3 and SR3 top masses in LHO:86222 and LHO:84531 respectively.

Non-image files attached to this comment
oli.patane@LIGO.ORG - 21:25, Tuesday 28 October 2025 (87823)

Here's the characterization data and fit results for S1100174, assigned to MC2 M3's ULLLURLR OSEMs.

This sat amp is a UK 4CH sat amp, D0900900 / D0901284. The data was taken per methods described in T080062-v3, using the diagrammatic setup shown on PAGE 1 of the Measurement Diagrams from LHO:86807.

The data was processed and fit using ${SusSVN}/trunk/electronicstesting/lho_electronics_testing/satamp/ECR_E2400330/Scripts/
plotresponse_S1100174_MC2_M3_ULLLURLR_20251020.m

Explicitly, the fit to the whitening stage zero and pole, the transimpedance feedback resistor, and foton design string are:

Optic  Stage  Serial_Number  Channel_Number  OSEM_Name  Zero_Pole_Hz  R_TIA_kOhm  Foton_Design 
MC2 M3 S1100174 CH1 UL 0.0993:5.43 120 zpk([5.43],[0.0993],1,"n")
      CH2 LL 0.0969:5.3 120 zpk([5.3],[0.0969],1,"n")
      CH3 UR 0.0951:5.2 120 zpk([5.2],[0.0951],1,"n")
      CH4 LR 0.0952:5.2 120 zpk([5.2],[0.0952],1,"n")

The attached plot and machine readable .txt file version of the above table are also found in ${SusSVN}/trunk/electronicstesting/lho_electronics_testing/satamp/ECR_E2400330/Results/
2025-10-20_UKSatAmp_S1100174_D0901284-v5_fitresults.txt

Per usual, R_TIA_kOhm is not used in the compensation filter -- but after ruling out an adjustment in the zero frequency (by zeroing the phase residual at the lowest few frequency points), Jeff nudged the transimpedance a bit to get the magnitude scale within the ~0.25%, shown in the attached results. Any scaling like this will be accounted for instead with the absolute calibration step, i.e. Side Quest 4 from G2501621, a la what was done for PR3 and SR3 top masses in LHO:86222 and LHO:84531 respectively.

Non-image files attached to this comment
oli.patane@LIGO.ORG - 21:25, Tuesday 28 October 2025 (87824)

Here's the characterization data and fit results for S1100146, assigned to SR3 M2's ULLLURLR OSEMs.

This sat amp is a UK 4CH sat amp, D0900900 / D0901284. The data was taken per methods described in T080062-v3, using the diagrammatic setup shown on PAGE 1 of the Measurement Diagrams from LHO:86807.

The data was processed and fit using ${SusSVN}/trunk/electronicstesting/lho_electronics_testing/satamp/ECR_E2400330/Scripts/
plotresponse_S1100146_SR3_M2_ULLLURLR_20251020.m

Explicitly, the fit to the whitening stage zero and pole, the transimpedance feedback resistor, and foton design string are:

Optic  Stage  Serial_Number  Channel_Number  OSEM_Name  Zero_Pole_Hz  R_TIA_kOhm  Foton_Design 
SR3 M2 S1100146 CH1 UL 0.0968:5.29 120.0 zpk([5.29],[0.0968],1,"n")
      CH2 LL 0.0989:5.4 120.0 zpk([5.4],[0.0989],1,"n")
      CH3 UR 0.0948:5.18 120.0 zpk([5.18],[0.0948],1,"n")
      CH4 LR 0.0966:5.27 120.25 zpk([5.27],[0.0966],1,"n")

The attached plot and machine readable .txt file version of the above table are also found in ${SusSVN}/trunk/electronicstesting/lho_electronics_testing/satamp/ECR_E2400330/Results/
2025-10-20_UKSatAmp_S1100146_D0901284-v5_fitresults.txt

Per usual, R_TIA_kOhm is not used in the compensation filter -- but after ruling out an adjustment in the zero frequency (by zeroing the phase residual at the lowest few frequency points), Jeff nudged the transimpedance a bit to get the magnitude scale within the ~0.25%, shown in the attached results. Any scaling like this will be accounted for instead with the absolute calibration step, i.e. Side Quest 4 from G2501621, a la what was done for PR3 and SR3 top masses in LHO:86222 and LHO:84531 respectively.

Non-image files attached to this comment
oli.patane@LIGO.ORG - 21:26, Tuesday 28 October 2025 (87825)

Here's the characterization data and fit results for S1100134, assigned to SR3 M3's ULLLURLR OSEMs.

This sat amp is a UK 4CH sat amp, D0900900 / D0901284. The data was taken per methods described in T080062-v3, using the diagrammatic setup shown on PAGE 1 of the Measurement Diagrams from LHO:86807.

The data was processed and fit using ${SusSVN}/trunk/electronicstesting/lho_electronics_testing/satamp/ECR_E2400330/Scripts/
plotresponse_S1100134_SR3_M3_ULLLURLR_20251020.m

Explicitly, the fit to the whitening stage zero and pole, the transimpedance feedback resistor, and foton design string are:

Optic  Stage  Serial_Number  Channel_Number  OSEM_Name  Zero_Pole_Hz  R_TIA_kOhm  Foton_Design 
SR3 M3 S1100134 CH1 UL 0.0975:5.32 120.0 zpk([5.32],[0.0975],1,"n")
      CH2 LL 0.0958:5.23 120.0 zpk([5.23],[0.0958],1,"n")
      CH3 UR 0.0958:5.22 120.375 zpk([5.22],[0.0958],1,"n")
      CH4 LR 0.0985:5.38 120.25 zpk([5.38],[0.0985],1,"n")

The attached plot and machine readable .txt file version of the above table are also found in ${SusSVN}/trunk/electronicstesting/lho_electronics_testing/satamp/ECR_E2400330/Results/
2025-10-20_UKSatAmp_S1100134_D0901284-v5_fitresults.txt

Per usual, R_TIA_kOhm is not used in the compensation filter -- but after ruling out an adjustment in the zero frequency (by zeroing the phase residual at the lowest few frequency points), Jeff nudged the transimpedance a bit to get the magnitude scale within the ~0.25%, shown in the attached results. Any scaling like this will be accounted for instead with the absolute calibration step, i.e. Side Quest 4 from G2501621, a la what was done for PR3 and SR3 top masses in LHO:86222 and LHO:84531 respectively.

Non-image files attached to this comment
H1 SUS
oli.patane@LIGO.ORG - posted 13:28, Tuesday 21 October 2025 (87616)
SR3/PR3 L Estimator installed and on (P estimator updated too)

Edgard, Oli

Edgard got everything done for the PR3 and SR3 L estimator, so I was able to install all the filters and turn them on. Along with the L to L estimator parts, this also included L to P models, and involved updates to the P estimator's P to P and P to L fits.

We are running the L estimator and the updated P estimator as of 2025-10-21 20:18:00 UTC.

Images attached to this report
H1 General
ryan.crouch@LIGO.ORG - posted 13:16, Tuesday 21 October 2025 (87615)
LVEA swept

The LVEA has been swept, no items of note.

H1 SUS (SUS)
edgard.bonilla@LIGO.ORG - posted 12:47, Tuesday 21 October 2025 (87613)
SR3 OSEM estimator blends updated for L/P

We built on the templates set by the PR3 L/P estimator blends [see LHO: 87596] to create Length and Pitch blend filters for the SR3 OSEM estimator.

The functions that make the model and OSEM filters live in:
       blend_SR3_lengthv2_LP_est.m
       blend_SR3_pitchv2_LP_est.m

The files were committed to the SVN at (svnRoot)/sus/trunk/HLTS/Common/FilterDesign/Estimator/ under revision 12741.

make_EST_blends.m in the same folder should work for getting these onto the real-time model.

Images attached to this report
H1 SUS
edgard.bonilla@LIGO.ORG - posted 12:34, Tuesday 21 October 2025 (87612)
SR3 L/P OSEM estimator fits

Follow up to Oli's measurements in [LHO: 87363 LHO: 87611].

We did the fitting for the SR3 OSEM estimator with the M1 drive measurements from today plus the Suspoint measurements from two weeks ago.


The plant is not nearly as reciprocal as the PR3 plant, I wonder what that means.

The fits had to be obtained by tweaking over the PR3 OSEM estimator model posted in [LHO: 87593]. This worked really fast, and produced very clean results. I think we might use this method as a way to retune the estimators in the future.

The .pdf attached has the image of the Estimator L/P models for bookkeeping.

The fits are contained in fits_H1SR3_LP-2025-10-07.mat have been uploaded to the SVN under revision 12740 to

(svnroot)/sus/trunk/HLTS/Common/FilterDesign/Estimator.

 

Here are the ZPKs for the model

_____________________________________________________________________________

SUSPOINT TO M1
 
Suspoint L to M1 L fit
zpk([0,0,-0.06-4.33i,-0.06+4.33i,-0.051-7.177i,-0.051+7.177i,-0.089-15.255i,-0.089+15.255i],[-0.073-4.136i,-0.073+4.136i,-0.07-4.666i,-0.07+4.666i,-0.071-9.92i,-0.071+9.92i,-0.155-18.168i,-0.155+18.168i],-0.001)
 
Suspoint L to M1 P fit
zpk([0,0,0.935-6.789i,0.935+6.789i,-1.049-6.865i,-1.049+6.865i,-1.085-18.474i,-1.085+18.474i,0.833-18.561i,0.833+18.561i],[-0.078-4.113i,-0.078+4.113i,-0.058-4.655i,-0.058+4.655i,-0.071-9.916i,-0.071+9.916i,-0.165-13.116i,-0.165+13.116i,-0.221-18.058i,-0.221+18.058i,-0.053-21.596i,-0.053+21.596i],0.383)
 
Suspoint P to M1 L fit
zpk([0,0,-0.103-4.364i,-0.103+4.364i,-0.095-9.007i,-0.095+9.007i,-0.071-17.115i,-0.071+17.115i],[-0.071-4.094i,-0.071+4.094i,-0.055-4.64i,-0.055+4.64i,-0.062-9.948i,-0.062+9.948i,-0.158-18.146i,-0.158+18.146i],0)
 
Suspoint P to M1 P fit
zpk([0,0,-0.002-4.162i,-0.002+4.162i,0.006-4.65i,0.006+4.65i,0.036-5.615i,0.036+5.615i,-0.011-9.179i,-0.011+9.179i,-0.065-9.837i,-0.065+9.837i,-0.052-14.212i,-0.052+14.212i,-0.017-21.873i,-0.017+21.873i],[-0.06-4.105i,-0.06+4.105i,-0.01-4.178i,-0.01+4.178i,-0.02-4.629i,-0.02+4.629i,-0.028-4.68i,-0.028+4.68i,-0.019-9.793i,-0.019+9.793i,-0.045-9.975i,-0.045+9.975i,-0.139-13.128i,-0.139+13.128i,-0.041-21.608i,-0.041+21.608i],-0.001)
 
 
M1 DRIVE TO M1
 
M1 drive L to M1 L fit
zpk([-0.067-4.297i,-0.067+4.297i,-0.003-5.174i,-0.003+5.174i,-0.024-12.283i,-0.024+12.283i],[-0.064-4.12i,-0.064+4.12i,-0.057-4.635i,-0.057+4.635i,-0.072-9.904i,-0.072+9.904i,-0.155-18.168i,-0.155+18.168i],0.136)
 
M1 drive L to M1 P fit
zpk([1.502-5.563i,1.502+5.563i,-1.589-5.824i,-1.589+5.824i,-14.284,14.718,1.462-17.431i,1.462+17.431i,-1.276-17.775i,-1.276+17.775i],[-0.068-4.121i,-0.068+4.121i,-0.063-4.638i,-0.063+4.638i,-0.072-9.905i,-0.072+9.905i,-0.158-13.118i,-0.158+13.118i,-0.163-18.132i,-0.163+18.132i,-0.056-21.582i,-0.056+21.582i],0.078)
 
M1 drive P to M1 L fit
zpk([1.399-5.266i,1.399+5.266i,-1.594-5.6i,-1.594+5.6i,2.034-16.482i,2.034+16.482i,-2.192-17.091i,-2.192+17.091i],[-0.073-4.113i,-0.073+4.113i,-0.06-4.63i,-0.06+4.63i,-0.068-9.924i,-0.068+9.924i,-0.163-13.118i,-0.163+13.118i,-0.143-18.158i,-0.143+18.158i,-0.072-21.583i,-0.072+21.583i],-25.295)
 
M1 drive P to M1 P fit
zpk([-0.075-4.398i,-0.075+4.398i,0-5.423i,0+5.423i,-0.068-9.979i,-0.068+9.979i,-0.002-20.622i,-0.002+20.622i],[-0.069-4.109i,-0.069+4.109i,-0.051-4.632i,-0.051+4.632i,-0.076-9.938i,-0.076+9.938i,-0.164-13.126i,-0.164+13.126i,-0.074-21.58i,-0.074+21.58i],76.066)
 

Non-image files attached to this report
H1 SUS (SEI)
oli.patane@LIGO.ORG - posted 12:21, Tuesday 21 October 2025 (87611)
(repeat) SR3 measurements for L Estimator

I needed to retake measurements for the SR3 M1 to M1 L estimator in the L and P degrees of freedom because the ones from 87363 didn't have good enough coherence.

Settings:
- ISI in ISOLATED
- SUS in ALIGNED
- Estimators off (using regular damping)
- L DAMP gain to 20% (-0.1), P DAMP gain at 20% (-0.1), Y DAMP gain to 100% (-0.5)

Results:
M1 to M1
/ligo/svncommon/SusSVN/sus/trunk/HLTS/H1/SR3/SAGM1/Data/2025-10-21_1600_H1SUSSR3_M1_WhiteNoise_EstL_{L,P}_0p02to50Hz.xml r12738

These have a lot better coherence now

H1 SEI
jim.warner@LIGO.ORG - posted 11:16, Tuesday 21 October 2025 (87608)
HAM7 CPS switched to local timing

Since it was installed, HAM7 ISI has been prone to trips if people are working nearby. Often walking by the chamber is enough, but work in the squeeze racks, HAM6 ISC racks or unplugging electronics from nearby outlets has caused CPS saturations. After talking to Jeff, we decided to try disconnecting HAM7 from the corner timing system and try running the ISI using it's own local 10khz timing clock signal. I pulled the P3 jumper from the H1 CPS and disconnected the timing DB9 that connects HAM7 to the timing system. Position readout seems unchanged before vs. after the change. This shouldn't affect anything else.

LHO VE (VE)
gerardo.moreno@LIGO.ORG - posted 10:59, Tuesday 21 October 2025 - last comment - 15:31, Tuesday 21 October 2025(87606)
X-End Noisy Power Supply

As I entered the VEA at X-End I noticed an out place noise, I tracked the noise source to be a noisy power supply at the vacuum rack.  Made the report to Filiberto and Richard, noise points to a fan issue.

Filed a FRS ticket, number 35689.

Non-image files attached to this report
Comments related to this report
david.barker@LIGO.ORG - 11:15, Tuesday 21 October 2025 (87607)

WP12849 Marc is replacing the old PowerTen DC power supply at EX. This supplies the Beckhoff vacuum controls for h0veex. It also supplies the Beckhoff HEPI Pump Controller chassis.

EDC lost 1197 channels when power supply was off (VAC and HPI_PUMPCTRL)

Vac is now back and burt restored at 11:10, we are working on getting the HEPI pump controller back.

marc.pirello@LIGO.ORG - 14:28, Tuesday 21 October 2025 (87618)

Power supply was replaced with Sorensen DCS33-33E supply.  Everything powered back up eventually, minor issues with the HEPI controller were solved.  This completes WP12849

F. Clara, R. McCarthy, G. Moreno, M. Pirello

daniel.sigg@LIGO.ORG - 15:31, Tuesday 21 October 2025 (87623)

HEPI controller did not come back on its own. This computer doesn't seem to be set up to start TwinCAT and tcioc automatically. Started both processes manually, but run into an issue that the TwinCAT system was running, but the PLC code was not. After recompiling the PLC code and loading it, the system finally came up.

H1 CAL (CAL)
ibrahim.abouelfettouh@LIGO.ORG - posted 12:13, Saturday 18 October 2025 - last comment - 11:43, Tuesday 21 October 2025(87553)
Calibration Sweep 10/18

Saturday standard coordinated calibration sweep

BB Start: 1444847709

BB End: 1444848020

Simulines Start: 1444848233

Simulines End: 1444849630

2025-10-18 19:06:16,282 | INFO | Finished gathering data. Data ends at 1444849593.0
2025-10-18 19:06:16,498 | INFO | It is SAFE TO RETURN TO OBSERVING now, whilst data is processed.
2025-10-18 19:06:16,498 | INFO | Commencing data processing.
2025-10-18 19:06:16,498 | INFO | Ending lockloss monitor. This is either due to having completed the measurement, and this functionality being terminated; or because the whole process was aborted.
2025-10-18 19:06:52,301 | INFO | File written out to: /ligo/groups/cal/H1/measurements/DARMOLG_SS/DARMOLG_SS_20251018T184336Z.hdf5
2025-10-18 19:06:52,309 | INFO | File written out to: /ligo/groups/cal/H1/measurements/PCALY2DARM_SS/PCALY2DARM_SS_20251018T184336Z.hdf5
2025-10-18 19:06:52,314 | INFO | File written out to: /ligo/groups/cal/H1/measurements/SUSETMX_L1_SS/SUSETMX_L1_SS_20251018T184336Z.hdf5
2025-10-18 19:06:52,319 | INFO | File written out to: /ligo/groups/cal/H1/measurements/SUSETMX_L2_SS/SUSETMX_L2_SS_20251018T184336Z.hdf5
2025-10-18 19:06:52,324 | INFO | File written out to: /ligo/groups/cal/H1/measurements/SUSETMX_L3_SS/SUSETMX_L3_SS_20251018T184336Z.hdf5
PDT: 2025-10-18 12:06:52.452839 PDT
UTC: 2025-10-18 19:06:52.452839 UTC
 

CALIBMONITOR attached (took screenshot after requesting NLN_CAL_MEAS - might be a mistake but do not know)

Images attached to this report
Comments related to this report
elenna.capote@LIGO.ORG - 11:43, Tuesday 21 October 2025 (87609)

I generated the pydarm report from this measurement. I ended up changing "pro-spring" to False and regenerating.

Non-image files attached to this comment
H1 ISC
jennifer.wright@LIGO.ORG - posted 10:37, Friday 17 October 2025 - last comment - 15:38, Wednesday 26 November 2025(86744)
Optical Gain and output loss checks with hot OM2 on 4th September

Jennie W, Sheila,

 

I took a long time to post this as have been working on other things...

We carried out a test (see LHO alog #86785) to look at the effect of DARM offset stepping on the power at OMC-DCPD_SUMS and OMC-REFL (transmitted through and reflected from the OMC). We did this with the heater on OM2 off as is nominal.

We then meant to redo these measurements once we heated up OM2 to change the mode-matching of the IFO to the OMC.

Unbfortunately we lost lock at about 15:06 UTC while Corey was taking out first measurement before heating up the OM2.

The meausrement is shown in this image, I have mislabelled it as 'third measurement' but it was the first. The optical gain is shown just before this measurment to be 0.994.

Then we waited as long as we could under out initial parameters of being finished cooling the OM2 again by 1:45pm.

We took another measurement at 1 hr 25 mins into lock after two false starts where I forgot to turn off the ASC. The optical gain was measured right before we started the measurements to be 0.978 but was still thermalising.

And then we took a third 2 hrs 59 minutes into lock, the IFO should be thermalised but the temperature of OM2 was still trending upwards a bit. Optical gain was 0.986.

We can use the slope of the power at the antisymmetric port (P_AS) vs. the power at the DCPDs (P_DCPD) as the DARM offset changes to estimate the throughput of carrier through the OMC which allows us one estimate of the loss.

The plots of this throughput are here for the cold state (minus the points taken after we lost lock), here for the partially thermalised state, and here for the thermalised state.

I am also in the middle of using the plot of P_AS varying with power at the OMC reflected port (P_REFL) to get a better estimate of the mode-mis match between the interferometer and the OMC.

 

Images attached to this report
Non-image files attached to this report
Comments related to this report
jennifer.wright@LIGO.ORG - 12:33, Tuesday 21 October 2025 (87610)

I plotted the loss between the antisymmetric port (calibrated into the power entering HAM6) to the power on the DCPDs. This is the inverse of the slopes in the graphs above.

All three are poltted on one graph, using plot_AS_vs_DCPD_changes.py in my own cope of the labutils repository at /ligo/home/jennifer.wright/git/local_git_copies/labutils/darm_offset_step/ .

Sheila and Camilla both agreed the loss for the two bottom lines (purple and red) are too high. These imply that a hot OM2 gives us over 20 % output losses.

If we look at the increase in loss from cold OM2 to hot OM2 this is a factor of 2.1 (210 % increase).

Compared to the decrease in optical gain squared (which we expect to reflect the change in output losses, which was:

(0.986^2 - 0.994 ^2) / 0.994^2 = -0.016 (1.6 % decrease).

We might have to check the alignment of out optics was not changing while we changed the darm offset.

Non-image files attached to this comment
jennifer.wright@LIGO.ORG - 13:04, Tuesday 21 October 2025 (87614)

Looking at OM1, OM2 and SRM alignment it did change during the darm offset steps with the biggest change (in the third offsset step measurement) being in OM2 pitch and yaw, this is only a change around 6 microradians (Elenna and Jeff state this calibration in correct to within an order of magnitude). Not sure if this enough to invalidate the loss values we measure. OM3 and OMC sus did not change much but this is because IU purposely unlocked the OMC ASC while changing the darm offset.

Images attached to this comment
jennifer.wright@LIGO.ORG - 17:18, Tuesday 21 October 2025 (87629)

Jennie W, Matt T,

 

I plotted the antisymmetric power during the darm offset step vs. the power reflected by the OMC and am now very confused as the AS power looks to be smaller than the power reflected form the OMC. See the ndscope where I have zoomed in on the same time segment for both channels. The OMC-REFL channel is mean to be calibrated into mW and the ASC-AS_C channel is meant to be calibrated into W entering HAM 6 (even though the actual pick-off is the transmission through OM1).

The two plots attached show how the ratio between AS and OMC-REFL power changes during one of the DARM offset measurements we did right after I took this ndscope data.

Plot 1 hr 25 mins into lock.

Plot 2 hrs 59 mins into lock.

For each point the code returns the median of the time series at each step, this mioght be less valie for OMC-REFL as it is a lot noisier than ASC-AS_C.

I am still confused about the hogher power at OMC-REFL and wondering if:

a) I am confused about the calibration of one of these channels.

b) the calibration of one of these channels is wrong.

Images attached to this comment
Non-image files attached to this comment
jennifer.wright@LIGO.ORG - 15:38, Wednesday 26 November 2025 (88261)

I plotted the three measurements of P_AS vs. P_DCPD during thermalisation on the same plot to make them easier to compare.

The code for this is in /ligo/home/jennifer.wright/git/local_git_copies/labutils/darm_offset_step/plot_OMC_REFL_changes/P_as_vs_P_DCPD__comp_Sep_04.pdf

Non-image files attached to this comment
Displaying reports 621-640 of 85747.Go to page Start 28 29 30 31 32 33 34 35 36 End